S-38.188 Tietoliikenneverkot (3 ov), S-97

Merkitse jokaiseen vastauspaperiisi nimi, koulutusohjelma, vuosikurssi, kurssin nimi sekä tentin päivämäärä. Lisäksi merkitse paperin järjestysnumero ja papereiden kokonaislukumäärä.

Tehtävät 1-2 ja 3-5 eri papereille!
    1. Vertaile liikennöintiä IEEE 802.3-verkossa ja FDDI-verkossa (4 p)
    2. Miksi viestejä (IP-datagrammeja) joudutaan pilkkomaan verkossa? Mitkä kaksi vaihtoehtoa viestien pilkkomiseen on ja kumpaa IP käyttää? (2 p)
  1. Saat tehtäväksesi liittää yrityksen verkon Internettiin. Mitä teet? (6 p)
  2. Selosta käsitteet vuon- ja ruuhkanhallinta ? (HUOM !!! älä käytä enempää kuin 30 sanaa) (6 p)
  3. Selosta mikä on globaali synkronisaatio ja miksi RED on ratkaisu sen välttämiseen ? (6 p)
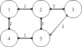
  4. Selosta RIP ja OSPF -reititysprotokollat sekä niiden sisältämät lyhyimmän polun algoritmit. Anna esimerkki kummankin toiminnasta alla olevassa verkossa. (6 p)


Markus Peuhkuri, Marko Luoma